16.01.2024 Тарифи на комунальну послугу з “Управління побутовими відходами” (збирання та перевезення) затверджені рішенням виконавчого комітету Ірпінської міської ради №6/7 від 16.01.2024 року.
24.04.2019 Тарифи на послуги з вивезення твердих побутових відходів та рідких стоків затверджені рішенням виконавчого комітету Ірпінської міської ради №67/13 від 24.04.2019 року.
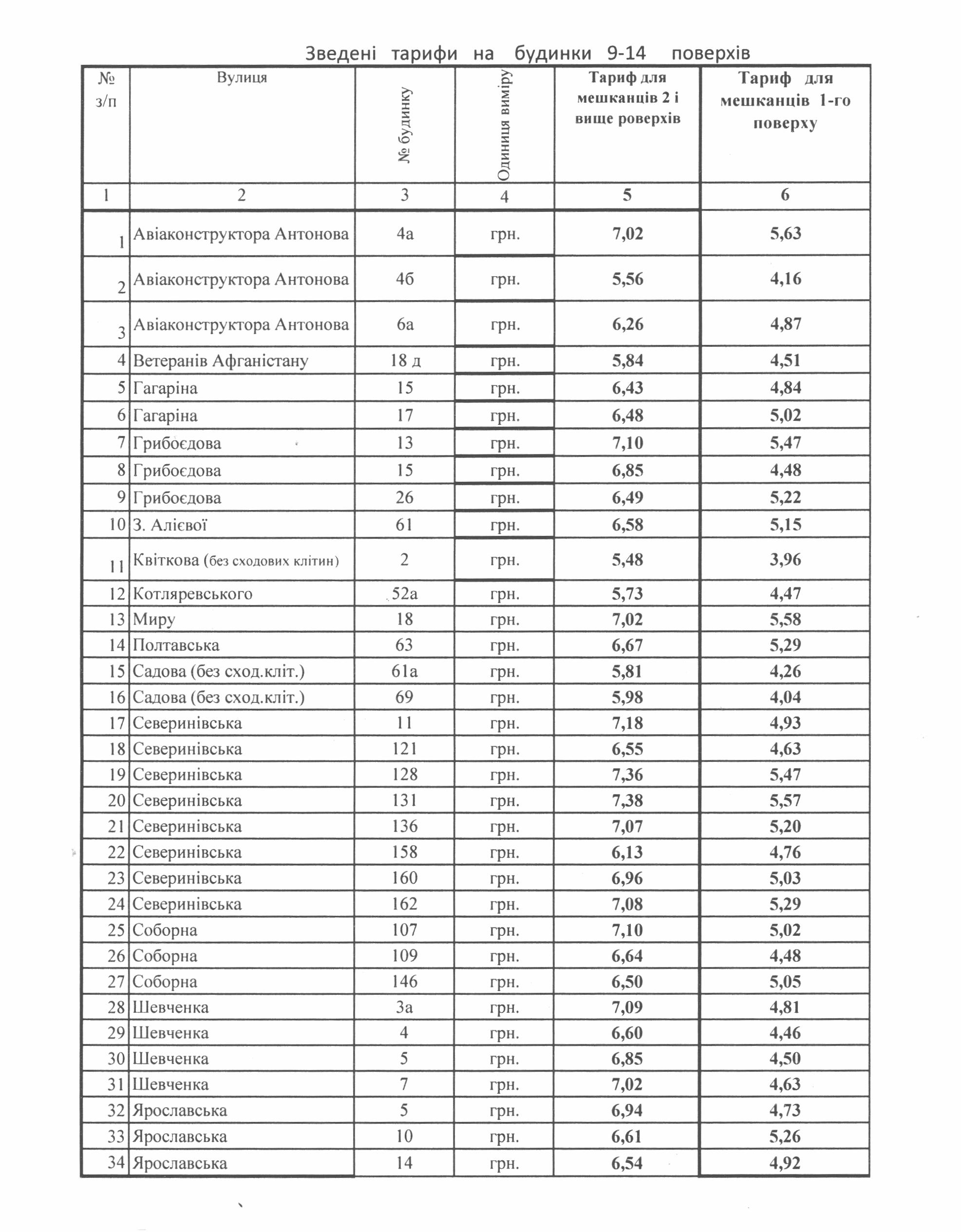
23.06.2018 Тарифи на послуги з утримання будинків і споруд та прибудинкових територій затверджені рішенням виконавчого комітету Ірпінської міської ради №133/2 від 19.06.2018 року.
Розраховані тарифи згідно з постановою Кабінету Міністрів України від 01.06.2011 року №869 “Порядок формування тарифів на послуги з утримання будинків і споруд та прибудинкових територій” та відповідають змінам, внесеним постановою КМУ від 17.07.2015 року №515 “Про внесення змін до Порядку формування тарифів на послуги з утримання будинків і споруд та прибудинкових територій”.
13.03.2015 Тарифи на послуги з вивезення твердих побутових відходів та рідких стоків затверджені рішенням виконавчого комітету Ірпінської міської ради №61 від 11.03.2015 року.
Розраховані тарифи по плановій собівартості відповідно до “Порядку формування тарифів на послуги з вивезення побутових відходів” затвердженого постановою Кабінету Міністрів України від 26.07.2006 року №1010 та “Норм накопичення твердих побутових відходів на одну людину по м.Ірпінь та селищах Гостомель, Коцюбинське, Ворзель затверджених рішенням сесії Ірпінської міської ради від 14.05.2010 року №4400-88-V та продовжених до 2020 року рішенням сесії Ірпінської міської ради від 29.01.2015 року №4605-66-VI.
Реквізити для сплати:
- UA593226690000026006300879239 ТВБВ 10026/0712 по м.Києву та Київській обл. АТ “Ощадбанк”, МФО 322669, ЄДРПОУ/ДРФО 39618372
- UA873052990000026003000119980 Ірпінське відділення АТ КБ “Приватбанк” МФО 305299, ЄДРПОУ/ДРФО 39618372




















